正在搜索、分析、总结中...
N的阶乘- 5.0共3页
- 算N的乘内容编写算N!的程序。数值N由盘入,结果在屏幕上出。目的编写一个乘的算程序,了怎样在汇编一级上实现级的数学函数。求N的围为0~65536,即不
计算n的阶乘- 5.0共4页
- publicclassFactorial{publicstaticvoidmain(String[]args){calcFactorial(225);//计算n的阶乘sop(calcZero(225
计算n的阶乘- 4.9共4页
- 用子程序结构编写:算n!程序有友好的界;n的大小在程序执时候入;求程序有方便的入出功;求程序够处理基本的信息;.8086.modelsmall.stack2
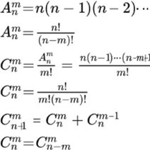
数学n的阶乘知识点- 5.0共5页
- 一、定义阶乘是指从1连乘到某个整数n的积。n的阶乘用符号n表示,读作“n的阶乘或“n阶乘。例如,3的阶乘是1236,5的阶乘是12345120。二、计算1.计算n的阶乘可以通过循环累乘的方式实现,例
360文库
n的阶乘等于什么
360问答 更多
N的阶乘(大数运算) 一朝散
N的阶乘(大数运算)对于一个大数来说,一个数的阶乘是非常大的。同样,一个int类型的整数,它的阶乘可能会很大。就拿50来说,它的阶乘位数是65位,就已经远远超出了long long int类型的最大值。这个...
博客园
n的阶乘公式
百度知道
n的阶乘等于多少?
360问答
没有更多结果了~
- 意见反馈
- 页面反馈