2-硝基苯硼酸CAS号5570-19-4-化工百科 – 960化工网
熔点 : 155-160 °C 闪点 : 180.5°C 颜色与性状 : White to Yellow Solid 溶解性 : 未确定 密度 : 1.4... Kengo Hanaya,Jun Ohata,Mary K. Miller,Alicia E. Mangubat-Medina,Michael J. Swierczynski,David...
chem960.com
Development of Urban Traffic Noise Model for a Mid-Sized City: A Case ...
This is a preview of subscription content, log in via an institutionto check access. Access this article Log in via an institution Buy article PDF 39,95 € Price includes VAT (China (P.R.)) Instant access...
springerlink
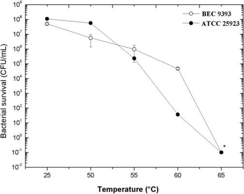
Synergism between high hydrostatic pressure and glutaraldehyde for the ...
https://doi.org/10.1038/ja.2009.45ArticleGoogle ScholarBendouah Z, Barbeau J, Hamad WA, Des... an active principle ofNigella sativaand its potency to prevent bacterial biofilm formation. BMC Com...
springerlink
Data Disaggregation with American Indian/Alaska Native Population Data | ...
Risk Factor Surveillance System (BRFSS).BMC Medical Research Methodology,16(1), 155–166... ArticleGoogle ScholarPonce, N., Becker, T., Babey, S., Shimkhada, R., Hanaya, D., Lee, S. & Sch...
springerlink
没有更多结果了~
- 意见反馈
- 页面反馈