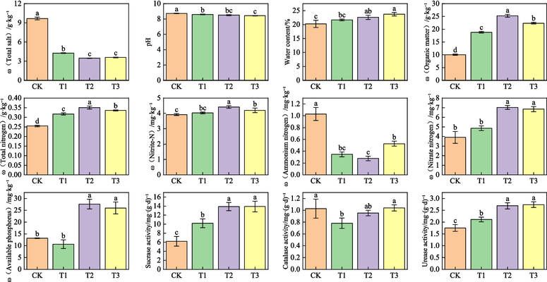
Synergistic improvement of saline-alkali soil quality by desulfurized gypsum ...
Intercropping of desulfurized gypsum with legume green manure is a sustainable strategy to improv... https://doi.org/10.3390/su15031977ArticleGoogle ScholarAlam F, Bigham J, Dick WA, Slater B, C...
springerlink
Wholesale Car Oil Filter 8200768927, W79, 8200274858 for Ren. Fluence -...
Co., Ltd.Business Type Manufacturer Year Established 2014 Factory Size 5,000-10,000 square meters Annual Export Value US$2.5 Million - US$5 Million Contact SupplierRequest QuoteChat Now
goldsupplier.com
75 Butterworth Avenue, Koondoola, WA 6064 - Property Details
property details and sold price of 75 Butterworth Avenue & other properties in Koondoola, WA 606... Act NOW and give us a call: David Whiteman - 0418 920 409 / Julyous Del Rosario - 0449 205 33...
realestate.com.au
37B Moorhead Way, Koondoola, WA 6064 - Property Details
ideal for culinary enthusiasts. The open-plan living area provides a comfortable and inviting space ... now to secure your future with this prime investment in Koondoola. Disclaimer: This information is p...
realestate.com.au
2/63 Burbridge Avenue, Koondoola, WA 6064 - Property Details
property details and sold price of 2/63 Burbridge Avenue & other properties in Koondoola, WA 606... This charming unit is now available for sale. With its prime location and attractive features, this prop...
realestate.com.au
没有更多结果了~
- 意见反馈
- 页面反馈