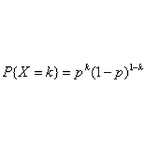
随机变量
随机变量与正态变量不同,没有特定值,而是一个数值范围和给出获取每个子集的数值的不同概率的密度. 这可以用于对来自不完全或者简化模型的不确定性建模. 随机变量...
reference.wolfram.com
10、随机变量:概念及类型解析
本文深入解析了随机变量的概念及其主要类型,包括二项随机变量、几何随机变量和泊松随机变量。文章详细介绍了这些离散型随机变量的定义、适用场景、数学性质及相关...
CSDN博客
随机解释变量 360文库
26页发布时间:2024年4月25日
第7章随机解释变量单方程线性计量经济学模型假定解释变量是确定性变量,并且与随机误差项不相关,违背这一基本假设的问题被称为随机解释变量问题,本章介绍了随机解释变量问题的概念,产生的原因和后果,检验方法以及解决方法,7,1随机解释变量问题的概念
wenku.so.com
没有更多结果了~
- 意见反馈
- 页面反馈
