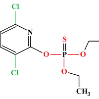
氯吡硫磷
360百科
查看更多
毒死蜱:作用特点、使用方法和注意事项!
毒死蜱是一种有机磷类广谱杀虫剂,具有触杀、胃毒和熏蒸多重作用,但无内吸作用。其作用机制在于抑制昆虫体内乙酰胆碱酯酶的活性,导致神经冲动传导受破坏,引发异...
今日头条
毒死蜱的主要功效与作用 360文库
3页发布时间:2021年6月14日
毒死蜱是一种广泛使用的高效杀虫剂,其主要成分为氯氰菊酯。毒死蜱是一种联合作用杀虫剂,能够同时作用于昆虫的神经系统和肌肉系统,能够使昆虫迅速麻痹并死亡。本文将介绍毒死蜱的主要功效与作用。一、杀虫作用毒死蜱具有广谱杀虫作用,
wenku.so.com
毒死蜱 CAS#: 2921-88-2
ChemicalBook 致力于为化学行业用户提供毒死蜱的性质、化学式、分子式、比重、密度,同时也包括毒死蜱的沸点、熔点、MSDS、用途、作用、毒性、价格、生产厂家、用途、上游原料、下游产...
化学信息搜索
没有更多结果了~
- 意见反馈
- 页面反馈
