常微分方程 (ODE)
分数阶微分方程 (FDE) 是涉及分数阶导数 的微分方程. 是常微分方程的推广,引起了人们的广泛关注,并广泛应用于工程、物理、化学、生物学等领域 .DSolve 可求解含...
reference.wolfram.com
常微分方程 CSDN博客
41次收藏 发表时间:2024年6月6日
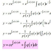
有些特殊的变系数线性常微分方程,则可以通过变量代换化为常系数线性微分方程 二阶可降阶微分方程(二阶降到一阶):将y’用其他变量替换即可降一阶。(要保持只有两个变量,所以只能适用于y’’...
CSDN博客频道
数学分支之十八:常微分方程
发帖时间:2011年5月23日
常微分方程方程对于学过中学数学的人来说是比较熟悉的;在中就有各种各样的方程,比如、、、指数方程、对数方程、和等等。这些方程都是要把研究的问题中的已知数和未知数之间的关系找出来...
360doc个人图书馆
常微分方程到底是什么?ߧ�数学中的 魔法 方程式 生活 淘宝百科网
bk.taobao.com
没有更多结果了~
- 意见反馈
- 页面反馈