网站域名价值评估 集群评估 华为云
网站域名价值评估 更多内容 集群评估ProxyMode:集群Proxy模式,字符串类型 ELB:是否依赖ELB,... 域名注册、解析和备案的关系 必须完成域名注册后,才能为域名配置解析记录。域名的注册商和D...
support.huaweicloud.com
标签:域名价值评估 开发者知识库平台 辰迅云
域名价值评估的标准包括以下几个方面:1. 域名长度:通常来说,短的域名更加易记,因此价值更高。2. 域名易拼写性:易拼写的域名更加容易被记忆和搜索,因此价值更高。3. 域名扩展名:常用的域名扩展...
chenxunyun.com
域名估价:怎么评估域名有没有价值?-CSDN博客
5次收藏 发表时间:2025年11月15日
都是提高域名交易成功率的有效方法。域名估价是一个复杂的过程,许多人不知道怎么评估自己的域名是否有潜在价值。我们都知道越短的域名,价值越高。_域名估价 域名估价是一个复杂的过程,许...
CSDN博客频道
域名价值在线评估 云商店的价值 华为云
域名价值在线评估 更多内容 云商店的价值的平台交易风控体系等为客户交易全流程护航; 专业服务:全流程,全球化,服务全球170+国家客户。提供优质的服务保障政策与支持,7×24h人工客服+机器...
support.huaweicloud.com
域名价值在线评估 商业合作评估 华为云
域名价值在线评估 更多内容 商业合作评估商业合作评估平台将综合评估您提交的商品信息与技术方案,以确定是否通过联营合作审核。 联营选品审核:联营商品审核结果将以邮件形式通知您,请注意...
support.huaweicloud.com
域名网站价值评估
- 1. 成本途径对网络域名价值的评估,是把现时情况下重建被评估资产所需支付的成本作为该项网络域名的价值的评估方法。在一般实际评估操作中,评估所考虑的重建被评估资产所需支付的成本,通常为该项网络域名的注册手续费及代理费等可以进行货币化衡量的成本。此次评估中,网络域名不同于传统的商品...
- 2. 市场途径是利用市场上同样或类似资产的近期交易价格,经过直接比较或类比分析以估测资产价值的方法。运用市场法时,网络域名的价值是通过参考可比网络域名在最近的收购或交易活动中的价格来获得的。通过搜寻可比案例,运用已被市场检验的结论来评估委估对象,显然是一种最为直接、具有说服力的...
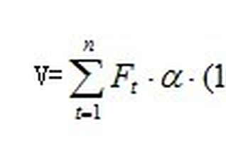
- 3. 收益法通过将该网络域名对企业未来的预期收益能力的贡献进行预测,并将其折现累加估算该网络域名的客观合理价格或价值,体现无形资产的特征,因本次评估网络域名未投入到实际运营,其未来收益难以准确计量,故不宜采用收益法进行评估。
百度经验
没有更多结果了~
- 意见反馈
- 页面反馈